TRƯỜNG TIỂU HỌC ĐỘI CUNG ĐÃ SẴN SÀNG ĐÓN HỌC SINH TỰU TRƯỜNG!
20/06/2025 02:40
Sáng ngày 20/6/2025, trường Tiểu học Đội Cung đã tổ chức phân lớp tự động trên phần mềm tuyển sinh. Tới tham dự và chứng kiến gồm có: Ban giám hiệu nhà trường, Chủ tịch công đoàn, Đại diện UBND phường Quang Trung, đại diện phụ huynh lớp 1.
THÔNG BÁO KẾT QUẢ TUYỂN SINH LỚP 1 NĂM HỌC 2025-2026.
Sáng ngày 20/6/2025, trường Tiểu học Đội Cung đã tổ chức phân lớp tự động trên phần mềm tuyển sinh. Tới tham dự vàchứng kiến gồm có: Ban giám hiệu nhà trường, Chủ tịch công đoàn, Đại diện UBND phường Quang Trung, đại diện phụ huynh lớp 1.
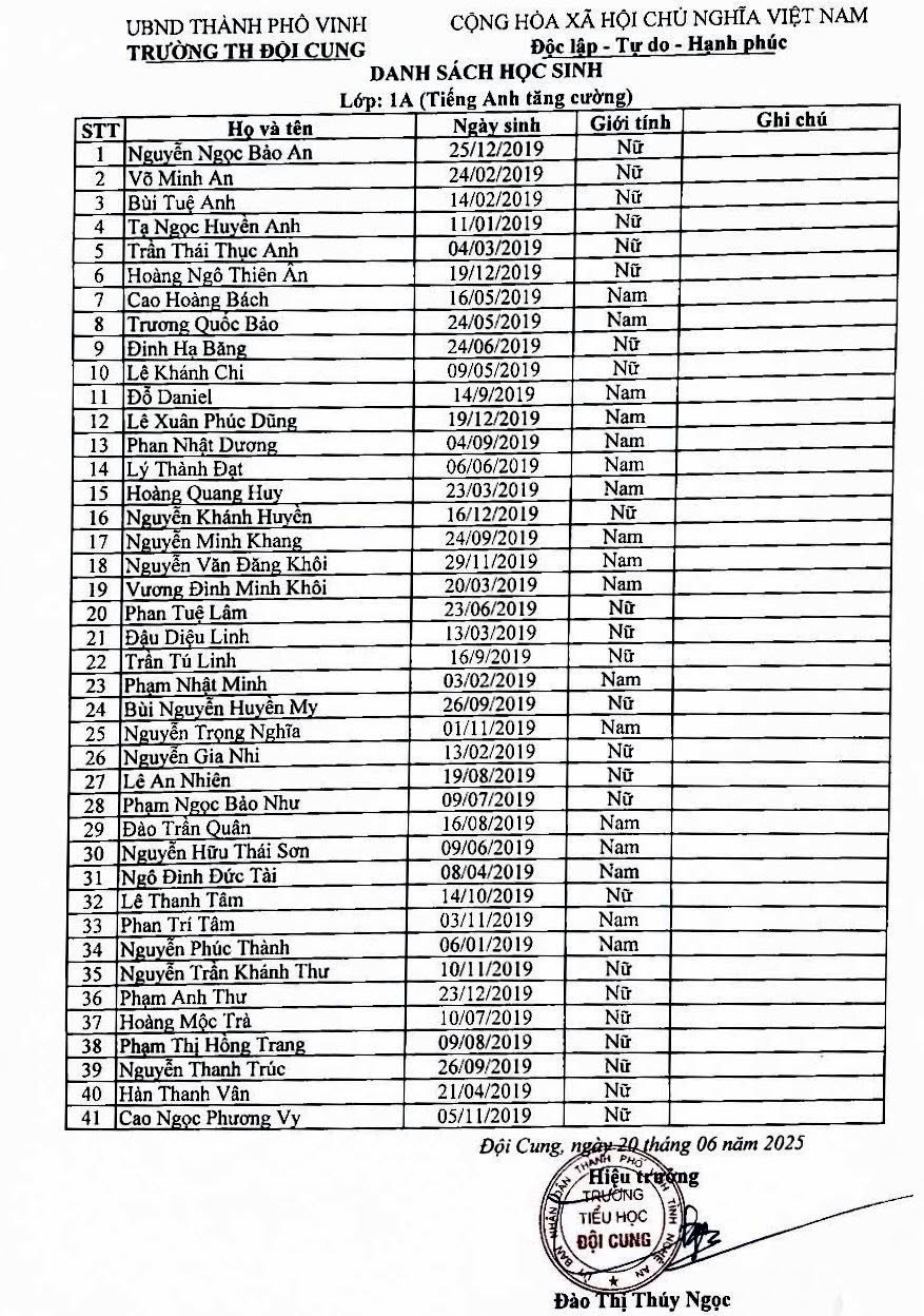
Trường Tiểu học Đội Cung vui mừng thông báo kết quả tuyển sinh lớp 1 năm học 2025-2026 như sau:
Tổng số lớp tuyển sinh: 5 lớp
Tổng số học sinh: 201 em
Trong đó, có 2 lớp tăng cường Tiếng Anh, 1 lớp tăng cường STEM và 2 lớp không có chương trình tăng cường.
Với mục tiêu phát triển toàn diện và tạo nền tảng vững chắc cho các em học sinh, nhà trường sẽ tiếp tục đẩy mạnh chương trình giảng dạy chất lượng, chú trọng rèn luyện kỹ năng và tư duy sáng tạo cho học sinh ngay từ những ngày đầu tiên bước chân vào lớp 1.
Xin chân thành cảm ơn sự tin tưởng của quý phụ huynh và hân hoan chào đón 201 học sinh mới, các em sẽ cùng thầy cô và bạn bè tạo nên một môi trường học tập vui tươi, sáng tạo và đầy cảm hứng!
Chúc các em sẽ có một năm học mới đầy thành công và hứng khởi tại mái trường Tiểu học Đội Cung thân yêu!
Trân trọng thông báo!




